繁體 简体 EN
 
 
 
Home : Applications / Additives / Compounding / PP (Polypropylene) /CHINOX 3114
   
  Compounding PP (Polypropylene)
   
 

 

 
Product name
CHINOX 3114
CAS No.
27676-62-6
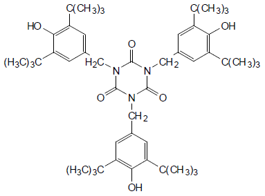
Chemical name
1,3,5-tris(3,5-di-tert-butyl-4-hydroxybenzyl)-1,3,5-triazine-2,4,6(1H,3H,5H)-trione
Structure
Molecular Weight
784
Appearance
White crystalline powder
Application
Polyolefin(film, fiber, plate, injection molding parts)
POM, PA, PU
   
   
   
 
     
 
Copyright © DOUBLE BOND CHEMICAL IND. CO., LTD.
Address / 4F., No.959, Zhongzheng Rd., Zhonghe Dist., New Taipei City 235601, Taiwan  Tel / +886-2-8228-1168  Fax / +886-2-82281818
E-mail / dbcsales@dbc.com.tw
design by RATER