繁體 简体 EN
 
 
 
首页 : 产品应用 / 塑胶添加剂 / 涂料 / 纺织涂层
   
  涂料 纺织涂层
   
   
 
产品名称
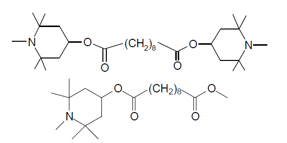
CHISORB 292
CAS No.
41556-26-7
82919-37-7
化学名称
癸二酸双(1,2,2,6,6-戊甲基-4-哌啶基)酯
癸二酸甲基-1,2,2,6,6-五甲基-4-哌啶酯
结构
分子量
508.8及369.6
外观
淡黄色液体
应用
- 各种涂料应用,油墨,PU
- 可分散乳化用于水性体系
   
   
   
 
     
 
Copyright © 双键化工股份有限公司
地址 / 新北市中和区中正路959号4楼  电话 / 02-8228-1168  传真 / 02-82281818
E-mail / dbcsales@dbc.com.tw
design by RATER