繁體 简体 EN
 
 
 
首页 : 产品介绍 / 光固化材料 / 单体
   
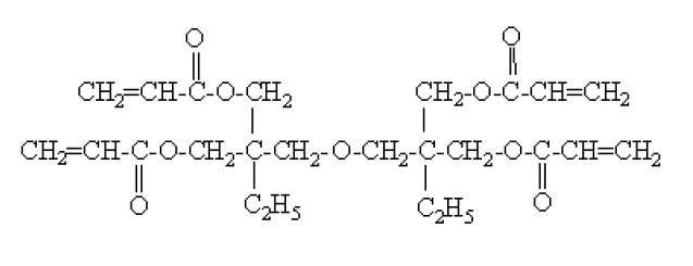
  单体 DM Di-TMPTA
   
   
 
产品名称
DOUBLEMER Di-TMPTA
CAS No.
94108-97-1
化学名称
双-三羟甲基丙烷四丙烯酸酯
结构
外观
澄清液体
应用
- 胶粘剂
- 金属、纸张、光纤涂料、PVC地板及木器涂层
- 防焊油墨
- 各种印刷油墨
特性
- 低挥发性和粘度
- 交联密度高,硬度高
- 良好的溶解性
- 固化速度快
- 低皮肤刺激性
   
   
   
 
     
 
Copyright © 双键化工股份有限公司
地址 / 新北市中和区中正路959号4楼  电话 / 02-8228-1168  传真 / 02-82281818
E-mail / dbcsales@dbc.com.tw
design by RATER