繁體
简体
EN
首页
:
产品介绍
/
光固化材料
/
单体
高分子添加剂
光固化材料
数码印花墨水
电子材料
单体
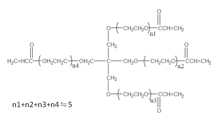
DM PET(5EO)4A
产品名称
DOUBLEMER PET(5EO)4A
CAS No.
51728-26-8
化学名称
五乙氧基季戊四醇三丙烯酸酯
结构
外观
澄清液体
应用
- 用于金属,光学,PVC板,纸张,木器上的涂料
- 电路板上的防焊层(绿漆)
- 柔版,凹版,胶印和丝网油墨
特性
- 高反应活性
- 低皮肤刺激性
- 柔韧性好
- 收缩率较PETA低
Copyright © 双键化工股份有限公司
地址 / 新北市中和区中正路959号4楼 电话 / 02-8228-1168 传真 / 02-82281818
E-mail /
dbcsales@dbc.com.tw
design by RATER