繁體 简体 EN
 
 
 
首页 : 产品介绍 / 光固化材料 / 单体
   
  单体 DM TMP(3EO)TA
   
   
 
产品名称
DOUBLEMER TMP(3EO)TA
CAS No.
28961-43-5
化学名称
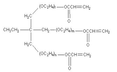
三乙氧基三羟甲基丙烷三丙烯酸酯
结构
外观
澄清液体
应用
- 好的稀释剂
- 油墨
- UV木器漆
- 上光油
- 纸张涂料
特性
- 低皮肤刺激性
- 高反应性
- 良好的溶解性
- 柔韧性好
- 低气味
   
   
   
 
     
 
Copyright © 双键化工股份有限公司
地址 / 新北市中和区中正路959号4楼  电话 / 02-8228-1168  传真 / 02-82281818
E-mail / dbcsales@dbc.com.tw
design by RATER