繁體 简体 EN
 
 
 
Home : Products / UV Curable Materials / Monomers
   
  Monomers DM TMP(3EO)TA
   
 

 

 
Product name
DOUBLEMER TMP(3EO)TA
CAS No.
28961-43-5
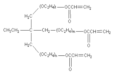
Chemical name
Ethoxylated Trimethylolpropane Triacrylate
Structure
Appearance
Clear liquid
Application
- Good diluent
- Inks
- UV-reactive wood
- Overprint vanishes
- Paper coatings
Characteristics
- Low skin irritation
- Fast cure response
- Excellent solvency
- Good flexibility
- Low odor
   
   
   
 
     
 
Copyright © DOUBLE BOND CHEMICAL IND. CO., LTD.
Address / 4F., No.959, Zhongzheng Rd., Zhonghe Dist., New Taipei City 235601, Taiwan  Tel / +886-2-8228-1168  Fax / +886-2-82281818
E-mail / dbcsales@dbc.com.tw
design by RATER