繁體
简体
EN
Home
:
Products
/
Electronic Chemicals
/
Bismaleimide Resin
Polymer Additives
UV Curable Materials
Inkjet Printing Inks
Electronic Chemicals
Bismaleimide Resin
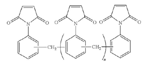
DBC 2300
Product name
DBC 2300
CAS No.
67784-74-1
Chemical name
Benzylmethane maleimide mixture
Structure
Appearance
Yellow to light brown powder
Melting Point
60-150℃
Acid value
<12 mg KOH/g
Application
1. Raw materials of matrix resin for multi-layer laminated board
2. Rubber chemical
3. Heat-resistant molded materials
4. Heat-resistant varnish for motors
5. High-voltage cable insulator
Copyright © DOUBLE BOND CHEMICAL IND. CO., LTD.
Address / 4F., No.959, Zhongzheng Rd., Zhonghe Dist., New Taipei City 235, Taiwan Tel / +886-2-8228-1168 Fax / +886-2-82281818
E-mail /
dbcsales@dbc.com.tw
design by RATER