繁體
简体
EN
Home
:
Products
/
UV Curable Materials
/
Monomers
Polymer Additives
UV Curable Materials
Inkjet Printing Inks
Electronic Chemicals
Monomers
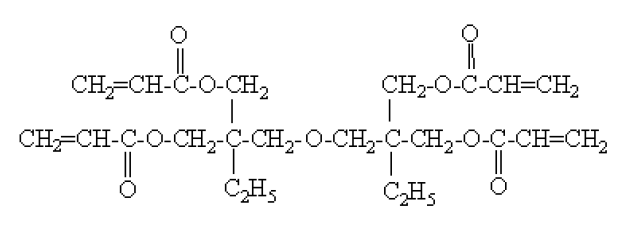
DM Di-TMPTA
Product name
DOUBLEMER Di-TMPTA
CAS No.
94108-97-1
Chemical name
Di-Trimethylolpropane Tetraacrylate
Structure
Appearance
Clear liquid
Application
- Adhesives
- Coatings for metal, optical, paper, PVC floor and wood.
- Electronics for solder masks
- Inks for flexo, gravure, offset and screen
Characteristics
- Low volatility and viscosity
- High crosslinking density
- Good solvency
- High reactivity
- Low skin irritation
Copyright © DOUBLE BOND CHEMICAL IND. CO., LTD.
Address / 4F., No.959, Zhongzheng Rd., Zhonghe Dist., New Taipei City 235601, Taiwan Tel / +886-2-8228-1168 Fax / +886-2-82281818
E-mail /
dbcsales@dbc.com.tw
design by RATER